Desde cifras de impacto hasta el mapa real de donaciones en Querétaro: descubre el plan estratégico que transforma alimento todavía útil en seguridad alimentaria digna para comunidades, colonias e instituciones queretanas.
Hambre Cero: qué significa y por qué importa en Querétaro
Hambre Cero es el Objetivo de Desarrollo Sostenible 2 (ODS 2) y apunta a algo muy específico: garantizar el acceso a alimentos inocuos, nutritivos y suficientes durante todo el año, mejorar la nutrición y fortalecer sistemas alimentarios sostenibles. No se trata solo de “dar comida”: se trata de seguridad alimentaria y de condiciones para que sea constante.
En la práctica, Hambre Cero implica avanzar (al menos) en estas metas clave del ODS 2:
- Acceso universal a alimentación sana y suficiente (en particular para personas en situación de vulnerabilidad).
- Fin de todas las formas de malnutrición (no solo desnutrición; también malnutrición por baja calidad).
- Sistemas de producción y suministro sostenibles (menos pérdidas y desperdicio, logística eficiente, mejores prácticas).
La fotografía en Querétaro: carencia de alimentación nutritiva y de calidad
En Querétaro, la discusión de Hambre Cero se conecta con un indicador concreto: carencia por acceso a la alimentación nutritiva y de calidad. SEDESOQ en 2023 citó que 90 mil viviendas (322 mil personas) presentan esta carencia.
Además, fuentes públicas estatales/federales han documentado variaciones en pobreza y carencias en la entidad, lo que refuerza que el reto existe y requiere respuestas estructurales.
Hambre Cero en Querétaro: del discurso a lo medible
Para que Hambre Cero sea una meta accionable a nivel estatal (y no un concepto aspiracional), conviene traducirla a cinco frentes medibles:
- Disponibilidad: que el alimento exista y se recupere a tiempo (rescatar alimento todavía útil antes de que se pierda).
- Acceso: que llegue a quienes lo necesitan con frecuencia y continuidad (no solo en picos de donación).
- Calidad e inocuidad: alimento seguro, con procesos claros de recepción, clasificación y entrega.
- Nutrición: mejorar calidad de dieta, no solo cantidad (educación nutricional y acompañamiento).
- Sistema: reducir pérdidas y desperdicio en toda la cadena (hogares, comercios, logística).

El rol del Banco de Alimentos de Querétaro en la ruta hacia Hambre Cero
El Banco de Alimentos de Querétaro opera como un “puente logístico y social” entre dos realidades que coexisten: excedentes de alimento todavía útil y personas en situación de inseguridad alimentaria.
Ese puente no se sostiene con una sola acción, sino con un modelo integral:
- Rescate y acopio (campo, centrales de abasto, supermercados, industria, donaciones en especie).
- Clasificación e inocuidad (protocolos para proteger a beneficiarios y aliados).
- Distribución (paquetes alimentarios y canalización a instituciones).
- Transparencia como parte de la confianza social: reportes e información pública que permiten entender el alcance.
Lo que 2025 dejó claro: infraestructura y alianzas son aceleradores
En 2025, el Banco comunicó como prioridades operativas el fortalecimiento de infraestructura para manejo de productos frescos y perecederos, eficiencia en recolección/entrega y espacios para educación nutricional y talleres comunitarios.
En paralelo, se reforzaron acciones de vinculación con aliados. Por ejemplo:
- Activaciones con empresas y comunidad para fortalecer la seguridad alimentaria (caso HEB Juriquilla y el Querétaro Fútbol Club).
- Convenios para ampliar capacidad logística y atención territorial (por ejemplo, alianza en San Juan del Río).
Clave 2025: Hambre Cero no avanza solo con “más donación”; avanza con mejor sistema: mejor frío, mejor almacenamiento, mejores rutas, mejores criterios de recepción, mejores alianzas y mejor educación alimentaria.
Mapa de donaciones: a dónde van las donaciones actuales
Cuando alguien dona (en especie, efectivo o tiempo), la pregunta lógica es: ¿a dónde llega ese apoyo? La respuesta se entiende mejor viendo el sistema en capas.
1) Entrega a comunidades y colonias queretanas mediante paquetes alimentarios
En 2025:
Esto permite comprender la escala territorial del modelo: el impacto no se concentra en un solo punto; se distribuye en una red estatal.
El Banco establece criterios y procesos para atención a comunidades e instituciones (por ejemplo, requisitos, documentación y estudios socioeconómicos de las colonias, comunidades, instituciones y familias atendidas.
2) Canalización a instituciones aliadas
Además de la entrega directa, existe un canal institucional. En 2025:
57 instituciones atendidas.
Las instituciones (organizaciones sociales, centros comunitarios, etc.) permiten sostener frecuencia de atención y organizar la distribución en territorio, especialmente en zonas donde la logística requiere “capilaridad” local.
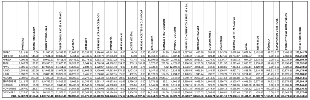
3) Categorías de apoyo: qué tipo de donación se convierte en qué tipo de entrega
En 2025, se acopiaron +3 millones de kilos, dividido principalmente entre:
- Proteína
- Frutas y verduras
- Benidas
- Cereales

En términos simples, el “mapa” operativo se puede leer así:

Qué tendría que pasar para alcanzar Hambre Cero en Querétaro
Hambre Cero se logra cuando hay un sistema que reduce la inseguridad alimentaria de forma consistente. Para Querétaro, eso se traduce en acciones concretas en tres niveles: hogares, empresas y ecosistema social.
A) Acciones concretas en hogares: reducir pérdidas y dirigir mejor el excedente
Una parte del desperdicio ocurre en el consumo cotidiano. Si se reduce la pérdida en casa, también se libera presión económica y se fortalece la seguridad alimentaria familiar.
Recomendación práctica: adoptar hábitos de consumo responsable (planificación, almacenamiento, congelación a tiempo) y, cuando se organizan colectas, hacerlo con criterios claros (qué recolectar, cómo, cuándo y a quién entregar).
Si quieres saber cómo convertir restante de comidas en nuevas recetas deliciosas, lee esté artículo.
B) Acciones concretas en empresas: donación eficiente y corresponsabilidad operativa
Para una empresa, Hambre Cero no se limita a “donar cuando sobra”; se vuelve más efectivo cuando hay:
- Procesos internos para separar excedentes aptos y donables.
- Alianzas logísticas que reduzcan mermas (cadena de frío, recolecciones programadas).
- Protocolos de recepción que protejan inocuidad y reputación (seguridad para beneficiarios y aliados).
C) Acciones del ecosistema: infraestructura + educación + territorialidad
En 2025, el Banco comunicó como prioridad la infraestructura para mejorar manejo de perecederos y eficiencia de operación. Eso apunta a una realidad: Hambre Cero requiere capacidades físicas, no solo voluntad.
Cuando hay mejor infraestructura, se logra:
- Rescatar más alimentos todavía útiles (en especial perecederos).
- Asegurar calidad e inocuidad con procesos más robustos.
- Llegar a más comunidades con menos mermas por logística
Cómo participar (con impacto real y medible)
La meta es Hambre Cero y la participación es más útil cuando se alinea al sistema:
- Donar alimento todavía útil (en especie) desde hogar o empresa, siguiendo lineamientos de inocuidad.
- Donar en efectivo, para compra estratégica y fortalecimiento de capacidades (especialmente cuando hay brechas de productos o necesidades operativas).
- Voluntariado para clasificación, armado y eficiencia logística.
- Organizar colectas en comunidades, instancias educativas o empresas con metodología clara (metas, alimentos prioritarios, logística).
- Consultar recursos y reportes: si se busca transparencia y comprensión del modelo, los materiales públicos del Banco son el mejor punto de partida.
Alcanzar Hambre Cero en Querétaro no depende de un solo actor: depende de un sistema que rescata, protege, clasifica, distribuye y educa con eficiencia y dignidad. El Banco de Alimentos de Querétaro cumple un rol operativo central: convertir excedentes de alimento todavía útil en seguridad alimentaria con procesos verificables, cobertura territorial y alianzas que escalan el impacto.
Salvar alimentos es nutrir historias.



